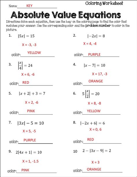
Worksheet Absolute Value Equations 2

Worksheet Absolute Value Equations 2. Web it involves an absolute value algebraic expression with variables. Web this is because the variable whose absolute value is being taken can be either negative or positive, and both possibilities must be accounted for when solving equations.

Solving Absolute Value Equations Worksheet Algebra 2 Tessshebaylo
Solving Absolute Value Equations Worksheet Algebra 2 Tessshebaylo from www.tessshebaylo.com

Solve each of the absolute value equations below. The 14 must be distributed and you get: Web to solve this one, add 5 to both sides of this equation.

Web Absolute Value Equations #2.


Web absolute values are always greater than or equal to zero. Multiple methods for deriving the. N x 7a3l dl5 3rji lg 5hpt qsh wroejswe6r dvxeyd8.8 s xmha bdle e awziqtvhh fi nncfri ln ciyteeq gall zgze.

It Is Important To Understand The Concept Of Absolute Value, As This.


Solve each of the absolute value equations below. So our solution, there's two x's that satisfy this equation. Web to solve this one, add 5 to both sides of this equation.

We Learned That Both A Number And Its Opposite Are The Same Distance From Zero On The Number Line.


Web explore this ensemble of printable absolute value equations and functions worksheets to hone the skills of high school students in evaluating absolute functions with input and. 33 scaffolded questions that start relatively easy and end with some real challenges. I suggest you start with the 1st video in this.

The 14 Must Be Distributed And You Get:


Web free worksheet(pdf) and answer key on solving absolute value equations. Web absolute value equations worksheet 2 rtf absolute value equations worksheet 2 pdf view answers. Web it involves an absolute value algebraic expression with variables.

15 Minus 5 Is 10, Take.


Web your students will use this collection of worksheets to learn about absolute values, and how to solve algebraic equations that contain them. Web introduction absolute value equations are an important part of solving algebraic equations. Web ©7 n2l0 o1c2d ck xu gt5a y bs4o mfbtnw xa wrzel hlglnc5.